Questões de Concurso
Filtrar
100 Questões de concurso encontradas
Página 15 de 20
Questões por página:
Questões por página:
Concurso:
Universidade Federal Fluminense (UFF)
Disciplina:
Engenharia Civil
A figura a seguir apresenta um quadro plano com três extremidades engastadas e um nó rotulado.

O grau de hiperestaticidade total desse quadro vale:
Concurso:
Universidade Federal Fluminense (UFF)
Disciplina:
Engenharia Civil
Na figura a seguir, apresenta-se uma chapa de aço com largura igual a 250 mm e espessura de 40 mm submetida a uma carga uniformemente distribuída em uma de suas extremidades e engastada à extremidade oposta. A chapa possui, ainda,3 furos com diâmetro de 40 mm.

(Dimensões em mm)
Sabendo que o aço possui tensão de escoamento igual a 400 MPa, a resistência axial dessa chapa considerando apenas o estado limite de ruptura da seção líquida efetiva é de:

(Dimensões em mm)
Sabendo que o aço possui tensão de escoamento igual a 400 MPa, a resistência axial dessa chapa considerando apenas o estado limite de ruptura da seção líquida efetiva é de:
Concurso:
Universidade Federal Fluminense (UFF)
Disciplina:
Engenharia Civil
A figura a seguir ilustra um tipo de treliça de madeira usualmente empregado como estrutura de sustentação (tesoura) de telhados. 
Considerando a estrutura submetida apenas à ação do seu peso próprio, os esforços atuantes nos elementos 1 e 2 são, respectivamente:

Considerando a estrutura submetida apenas à ação do seu peso próprio, os esforços atuantes nos elementos 1 e 2 são, respectivamente:
Concurso:
Universidade do Estado do Pará (UEPA)
Disciplina:
Engenharia Civil
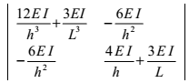
ALERT: Essa questão ainda está sendo revisada pela equipe FonteConcursos!
Concurso:
Universidade do Estado do Pará (UEPA)
Disciplina:
Engenharia Civil
Ainda com relação à figura da questão anterior, uma viga de concreto armado foi dimensionada com resistência característica à compressão do concreto - fck de 35 MPa para trabalhar no domínio 3. No entanto, após a execução constatou-se que o fck obtido para o concreto foi de 20 MPa. Neste caso, pode-se concluir que a viga