Questões de Concurso
Filtrar
254 Questões de concurso encontradas
Página 11 de 51
Questões por página:
Questões por página:
No auxílio das atividades de planejamento, utilizam-se alguns indicadores de gestão, entre os quais o indicador de desistência (IDe), cuja estrutura de cálculo é dada por IDe = Qtde. de alunos que abandonam o curso/Qtde. de alunos que entram no curso o índice de reprovação (IRep), dado por IRep= Qtde. de alunos reprovados no semestre/Qtde. de alunos totais matriculados e o tempo médio no curso (TMe), que é dado pela média do tempo no curso dos alunos que o concluem. Dadas as afirmativas a respeito dos indicadores apresentados, I. Quanto menor o valor do TMe, melhor será para a instituição. II. O melhor valor do IDe para a instituição é próximo de 1,0. III. O indicador IRep pode assumir um valor maior que 1,0. verifica-se que está(ão) correta(s) apenas
Reformas no sistema previdenciário já foram realizadas em distintos países, tanto para ampliar o investimento público como para redistribuir a renda. No Brasil, as propostas para se promoverem ajustes nas regras de aposentadorias e pensões têm como justificativa
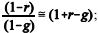
No contexto da política fiscal, pode-se sintetizar a matemática dos déficits e da dívida pública para acompanhar a evolução da razão dívida/PIB da seguinte forma:

Aqui, as taxas são obtidas pela aproximação
todas as variáveis estão em termos reais e t indica o tempo: ano t. Também:
Bt = dívida pública no final do ano t;
Yt = produto interno bruto (PIB) do ano t;
r = taxa real de juros;
g = taxa de crescimento do PIB;
Gt = montante de gastos do governo com bens e serviços durante o ano t;
Tt = impostos menos transferências durante o ano t.
Dessa forma, é correto afirmar que menor será a razão dívida/PIB final quanto