Questões de Concurso
Filtrar
24 Questões de concurso encontradas
Página 4 de 5
Questões por página:
Questões por página:
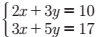
Dado o sistema de equações lineares

a soma dos valores de x e y que solucionam o sistema é igual a
Dada a matriz
, o determinante da matriz 2A é igual a
Concurso:
Receita Federal
Disciplina:
Raciocínio Lógico
Com relação ao sistema,
onde 3 z + 2 ≠ 0 e 2 x + y ≠ 0, pode-se, com certeza, afirmar que:
Concurso:
Receita Federal
Disciplina:
Raciocínio Lógico
Dada a matriz 
o determinante de A5 é igual a
Concurso:
Receita Federal
Disciplina:
Raciocínio Lógico
A matriz quadrada A, definida genericamente por A=aij, é dada por a11=0; a12=-4; a13=2; a21=x; a22=0; a23=(1-z); a31=y; a32=2z e, por último, a33=0. Desse modo, para que a matriz A seja uma matriz antissimétrica, os valores de a21, a23, a31 e a32 deverão ser, respectivamente, iguais a: