Questões de Concurso
Filtrar
83 Questões de concurso encontradas
Página 6 de 17
Questões por página:
Questões por página:
Concurso:
SEAD-AP
Disciplina:
Engenharia Eletrônica
Um sistema contínuo, linear e modelado em espaço de estado, tem a sua dinâmica determinada pela seguinte equação matricial:

Onde u(t) é o sinal de entrada, X(t) é a derivada do vetor de estados e y(t) o sinal de saída. A planta dispõe de uma variável incerta, o parâmetro real k, em sua dinâmica. O valor de k que torna o sistema NÃO CONTROLÁVEL é
Concurso:
SEAD-AP
Disciplina:
Engenharia Eletrônica
Um sistema linear invariante no tempo possui entrada X(s), saída Y(s) e pode ser representado pelo diagrama de blocos abaixo.

A função de transferência Y(s)/X(s) do sistema é igual a

A função de transferência Y(s)/X(s) do sistema é igual a
Concurso:
SEAD-AP
Disciplina:
Engenharia Eletrônica
A figura mostra o diagrama em blocos de uma planta em malha fechada com realimentação de saída, característica dos sistemas de controle. A Função de Transferência de malha aberta é:

Para esta configuração em Malha Fechada, sabe-se que quando o valor do ganho K varia positivamente de 0 a infinito, o sistema em Malha Fechada entra em INSTABIIDADE a partir de um certo ganho. O valor do ganho no limiar da INSTABILIDADE é

Para esta configuração em Malha Fechada, sabe-se que quando o valor do ganho K varia positivamente de 0 a infinito, o sistema em Malha Fechada entra em INSTABIIDADE a partir de um certo ganho. O valor do ganho no limiar da INSTABILIDADE é
Concurso:
AL-GO
Disciplina:
Engenharia Eletrônica
As funções de transferência de três sistemas em malha-fechada são dadas, respectivamente, por

Com base no exposto, é correto afirmar que apenas
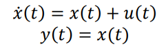
Concurso:
AL-GO
Disciplina:
Engenharia Eletrônica

Considere o sistema linear apresentado. Sendo x a variável de estado, y a variável de saída, e u a entrada de controle, todas escalares e de valores no conjunto dos números reais, assinale a alternativa correta.