Filtrar
529 Questões de concurso encontradas
Página 1 de 106
Questões por página:
Questões por página:
A característica principal dos elementos do conjunto Q - Z, que representa a diferença entre o conjunto dos números racionais e dos inteiros, é
Sabe-se que um conjunto A é dado de tal forma que A = {x ∈ N; x < 20 +10√2 e x > 20 - 10√2}. Dessa forma, determine a quantidade de elementos do conjunto A cujo quadrado também seja elemento de A.
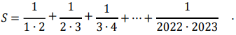
Para todo n natural maior ou igual a 1 vale a seguinte relação: 1/n(n+1) = 1/n - 1/n+1 Considere a soma S dada por 
Avalie as seguintes sentenças:
I. S é um número racional. II. S ≤ 1 / 2 III. S = 2022 / 2023 IV. S ≥ 1 .
Assinale a alternativa que contenha APENAS afirmações corretas.

Avalie as seguintes sentenças:
I. S é um número racional. II. S ≤ 1 / 2 III. S = 2022 / 2023 IV. S ≥ 1 .
Assinale a alternativa que contenha APENAS afirmações corretas.
Após pagar o valor da conta da pizzaria, Ana, Beatriz e Carlos voltaram para casa. No caminho, ninguém se recordava de quanto foi exatamente o valor da conta. Ana lembrava que a conta deu um valor inteiro e menor que 200 reais. Beatriz lembrava que deu um valor maior que 50 reais. Carlos lembrou que a soma dos algarismos do valor da conta dava 6. Admitindo que todos estavam certos, quantos são os valores possíveis para a conta?
Concurso:
Prefeitura de João Alfredo - PE
Disciplina:
Matemática
Calcule a expressão numérica: X – 2Y – 3Z. Considere: X = 6; y = ¼ e Z = - 1/3