Questões do concurso:
SAE de Catalão - GO - 2025 - Aroeira - 2025 - SAE de Catalão - GO - Auxiliar Administrativo
limpar filtros
40 Questões de concurso encontradas
Página 6 de 8
Questões por página:
Questões por página:
Concurso:
SAE de Catalão - GO
Disciplina:
Matemática
A soma de cinco números ímpares consecutivos é igual a 235. Qual o valor da mediana desses números?
Concurso:
SAE de Catalão - GO
Disciplina:
Matemática
Dois números são amigáveis quando a soma dos divisores próprios de um deles (excluindo o próprio número) é igual ao outro e reciprocamente. Quais pares de números a seguir são amigáveis?
Concurso:
SAE de Catalão - GO
Disciplina:
Matemática
A curvatura de uma superfície é dada pela relação 8cm para 1m para baixo. Se um objeto se move 6m numa direção fixa desta superfície e se sua altura é de 10 metros, qual será, em metros, a parte visível do objeto?
Concurso:
SAE de Catalão - GO
Disciplina:
Matemática
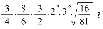
Qual o valor da expressão numérica:

Concurso:
SAE de Catalão - GO
Disciplina:
Matemática
Numa fruteira existem 60 frutas entre peras e maçãs. Sabe-se que o número de maçãs é o triplo do número de peras. Qual o número de maçãs da fruteira?