Questões de Concurso
Filtrar
260 Questões de concurso encontradas
Página 50 de 52
Questões por página:
Questões por página:
Disciplina:
Administração Financeira e Orçamentária
Um dos princípios da estrutura normativa do orçamento público determina que todas as receitas e despesas devem constar na Lei Orçamentário Anual (LOA) com seus valores brutos, vedada qualquer dedução, garantindo a integralidade da informação orçamentária. Considerando essa premissa, assinale a alternativa que representa CORRETAMENTE esse princípio.
Disciplina:
Administração Financeira e Orçamentária
Dentre os princípios clássicos que regem o orçamento público, destaca-se aquele que veda a inclusão de matérias estranhas à previsão da receita e à fixação da despesa, salvo exceções legalmente previstas. Dessa forma, o princípio orçamentário em questão é o:
Disciplina:
Noções de Informática
Os pilares da segurança da informação protegem dados contra ameaças e asseguram a confiabilidade das informações em um mundo digital cada vez mais vulnerável. Dessa forma, analise as sentenças a seguir:
Quando um usuário tenta fazer uma transação bancária e o sistema encontra-se fora do ar, observa- se o comprometimento da disponibilidade.
PORQUE
O pilar da disponibilidade trata da oferta do acesso à informação quando esta é necessária para o usuário. Acerca dessas sentenças, assinale a alternativa CORRETA.
Quando um usuário tenta fazer uma transação bancária e o sistema encontra-se fora do ar, observa- se o comprometimento da disponibilidade.
PORQUE
O pilar da disponibilidade trata da oferta do acesso à informação quando esta é necessária para o usuário. Acerca dessas sentenças, assinale a alternativa CORRETA.
Disciplina:
Noções de Informática
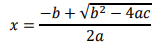
Em uma organização, um funcionário está usando uma versão recente do Microsoft Excel em português para criar uma planilha que calcula raízes de equações de segundo grau. Para calcular uma das raízes, a fórmula Bhaskara é empregada:
Sabe-se que x representa a raiz, enquanto a, b e c são os coeficientes da equação. Nesse contexto, o usuário criou uma planilha, na qual colocou os valores para a, b e c, além de inserir a fórmula de Bhaskara na célula E2, conforme ilustrado a seguir:
Assinale a alternativa que apresenta uma possível fórmula empregada pelo usuário na célula E2 para gerar o cálculo desejado no Microsoft Excel.
Sabe-se que x representa a raiz, enquanto a, b e c são os coeficientes da equação. Nesse contexto, o usuário criou uma planilha, na qual colocou os valores para a, b e c, além de inserir a fórmula de Bhaskara na célula E2, conforme ilustrado a seguir:
Assinale a alternativa que apresenta uma possível fórmula empregada pelo usuário na célula E2 para gerar o cálculo desejado no Microsoft Excel.
Disciplina:
Noções de Informática
Um usuário está utilizando uma versão recente do Microsoft Word em português para construir um discurso. Para isso, ele decide utilizar um Suplemento COM para auxiliar na formatação do documento. Após alguns minutos, com esse suplemento habilitado, o usuário percebe uma lentidão no funcionamento do Word. Ele decide então desabilitar esse suplemento. Assinale a alternativa que indica uma forma válida de se realizar essa ação.