60 Questões de concurso encontradas
Página 4 de 12
Questões por página:
Seja um modelo de regressão linear múltipla, com intercepto, envolvendo uma variável dependente e 2 variáveis explicativas. As estimativas dos respectivos parâmetros foram obtidas pelo método dos mínimos quadrados com base em 18 observações. O coeficiente de explicação (R2), definido como sendo o resultado da divisão da variação explicada pela variação total, apresentou um valor igual a 76%. Dado que a variação explicada é igual a 95, obtém-se que a estimativa da variância do modelo teórico ( σ 2) é igual a
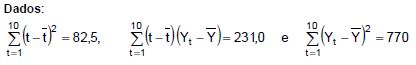
Para testar a existência da regressão por meio do teste t de Student, considerando as hipóteses H0 : ß = 0 (hipótese nula) e H1 : ß ≠ 0 (hipótese alternativa), obtém-se que o correspondente valor da estatística t (t calculado), para ser comparado com o respectivo t tabelado, pertence ao intervalo
Em um levantamento realizado em uma grande empresa com 400 de seus empregados, escolhidos aleatoriamente, obteve-se a seguinte tabela com relação à preferência por 4 candidatos X, Y, Z e T para presidente do sindicato. 
Deseja-se testar com base nesta tabela, utilizando o teste qui-quadrado, as seguintes hipóteses:
H0: não há discrepância entre as frequências observadas e esperadas (hipótese nula).
H1: as frequências observadas e esperadas são discrepantes (hipótese alternativa). 
Uma conclusão correta é que
