120 Questões de concurso encontradas
Página 10 de 24
Questões por página:
Com base no circuito lógico precedente, julgue o próximo item.
O circuito apresentado poderia também ser implementado com o uso de portas lógicas apenas do tipo NOR.
Com base no circuito lógico precedente, julgue o próximo item.
A tabela verdade a seguir corresponde à função lógica realizada pelo circuito apresentado.

Considerando que todos os componentes usados no circuito precedente são ideais, julgue o item subsequente.
O circuito funciona como um filtro passa-alta de primeira ordem, com frequência de corte igual a 
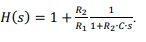
Considerando que todos os componentes usados no circuito precedente são ideais, julgue o item subsequente.
A função de transferência H(s) do circuito, no domínio s da transformada de Laplace, é 
Com base nessas informações, julgue o item a seguir.
O ganho de tensão do circuito, dado por vs / ve , tem sinal negativo e módulo maior que 300.


