Questões da prova:
FEPESE - 2026 - Prefeitura de Concórdia - SC - Professor - Matemática
limpar filtros
35 Questões de concurso encontradas
Página 2 de 7
Questões por página:
Questões por página:
Concurso:
Prefeitura de Concórdia - SC
Disciplina:
Matemática
Considere o polinômio p(z) = z⁴ + 4.
Sobre suas raízes complexas, é correto afirmar que:
Concurso:
Prefeitura de Concórdia - SC
Disciplina:
Matemática
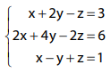
Considere o sistema:

Assinale a alternativa correta em relação ao sistema.
Concurso:
Prefeitura de Concórdia - SC
Disciplina:
Matemática Financeira
Uma escola promoveu quatro eventos para arrecadar recursos. Os valores arrecadados foram:
■ R$ 12.000,00 ■ R$ 15.000,00 ■ R$ 13.500,00 ■ R$ 15.500,00
A equipe financeira deseja investir o valor médio arrecadado por evento durante 4 meses, sob juros simples de 1,5% ao mês.
O montante ao final da aplicação é:
■ R$ 12.000,00 ■ R$ 15.000,00 ■ R$ 13.500,00 ■ R$ 15.500,00
A equipe financeira deseja investir o valor médio arrecadado por evento durante 4 meses, sob juros simples de 1,5% ao mês.
O montante ao final da aplicação é:
Concurso:
Prefeitura de Concórdia - SC
Disciplina:
Matemática
No intervalo (0, π/2), considere a equação:
■ 2 × sen(2x) = tg(x)
É correto afirmar que:
■ 2 × sen(2x) = tg(x)
É correto afirmar que:
Concurso:
Prefeitura de Concórdia - SC
Disciplina:
Pedagogia
Segundo o artigo 24 da Lei de Diretrizes e Bases da Educação Nacional (Lei nº 9.394/1996), a avaliação do rendimento escolar deve: