limpar filtros
Questões por página:
Suponha que, ao passar no concurso da UFAL, você seja alocado em uma Unidade Acadêmica, sendo-lhe distribuídas tarefas/atividades (trabalho) por uma chefia que lhe diz o que fazer e o orienta para que você possa fazer seu trabalho da melhor forma possível.
Assinale a alternativa correta que demonstra, a partir do texto acima, informações explícitas das funções administrativas.
Visualizar Questão Comentada
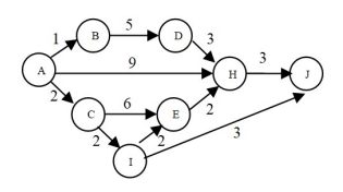
Observe o Diagrama PERT/CPM de um projeto, no qual os números são os seguintes:


Imagem associada para resolução da questão


Assinale a alternativa que indica o caminho crítico.
Misturamos, frequentemente, no uso do dia a dia, alguns conceitos básicos da contabilidade pública como se fossem as mesmas coisas.
Para evitar essa confusão, associe corretamente o termo (coluna 1) à característica (coluna 2).



Imagem associada para resolução da questão



Assinale a sequência correta, de cima para baixo.
Sobre Planejamento Estratégico, é correto afirmar que
Acerca do desenho departamental de uma organização, assinale a alternativa correta.