Questões da prova:
Avança SP - 2026 - Prefeitura de Vinhedo - SP - Médico Cardiologista
limpar filtros
50 Questões de concurso encontradas
Página 8 de 10
Questões por página:
Questões por página:
Concurso:
Prefeitura de Vinhedo - SP
Disciplina:
Matemática
O médico Dr. Mariano atende 12 pacientes por dia, trabalhando 6 horas diárias em sua clínica. Como irá sair de férias no final do ano, decidiu antecipar sua agenda para atender, nesta mesma semana, mais 60 pacientes correspondentes a uma semana inteira de atendimentos, além dos 12 pacientes que já atende diariamente.
Mantendo fixos os 5 dias úteis da semana, quantas horas por dia ele precisará trabalhar para conseguir atender todos os pacientes?
Assinale a alternativa correta.
Mantendo fixos os 5 dias úteis da semana, quantas horas por dia ele precisará trabalhar para conseguir atender todos os pacientes?
Assinale a alternativa correta.
Concurso:
Prefeitura de Vinhedo - SP
Disciplina:
Raciocínio Lógico
Em um hospital trabalham três médicos: Helena, Marcos e Tiago. Considerando que cada médico atende em um setor diferente, Helena atende no setor de Pediatria, Marcos não atende na Pediatria e Tiago não atende na Ortopedia, em qual setor Marcos atende?
Assinale a alternativa correta.
Assinale a alternativa correta.
Concurso:
Prefeitura de Vinhedo - SP
Disciplina:
Matemática
Considere os números inteiros: A = 20, B = 28 e C = 36.
Calcule o mínimo múltiplo comum MMC e o máximo divisor comum MDC de cada par de números (A, B), (B, C) e (A, C). Em seguida, determine o valor da expressão:
Assinale a alternativa correta:
Calcule o mínimo múltiplo comum MMC e o máximo divisor comum MDC de cada par de números (A, B), (B, C) e (A, C). Em seguida, determine o valor da expressão:
Assinale a alternativa correta:
Concurso:
Prefeitura de Vinhedo - SP
Disciplina:
Matemática
Davi possui uma quantidade N de caixas maior do que 80 e menor do que 90. Se as N caixas fossem agrupadas de 5 em 5 sobrariam duas. Se houvesse duas caixas a mais, elas poderiam ser agrupadas de 7 em 7 sem que sobrasse qualquer caixa.
A soma dos algarismos de N é:
A soma dos algarismos de N é:
Concurso:
Prefeitura de Vinhedo - SP
Disciplina:
Raciocínio Lógico
Você está estudando matemática para concursos públicos e, em meio aos diversos exercícios que estava resolvendo, se deparou com o seguinte problema:
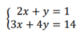
Dado o sistema de equações abaixo, encontre todas as soluções do sistema:
Assinale a alternativa que indica o par ordenado que representa a solução desse sistema de equações.
Dado o sistema de equações abaixo, encontre todas as soluções do sistema:
Assinale a alternativa que indica o par ordenado que representa a solução desse sistema de equações.