Questões de Concurso
Filtrar
22.989 Questões de concurso encontradas
Página 1 de 4.598
Questões por página:
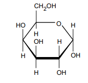
Na figura, é apresentada a fórmula de Haworth para a forma hemiacetálica cíclica de um monossacarídeo.

Trata-se de uma __________ e a conformação do átomo de carbono anomérico é _________ . Em relação à sua estrutura de cadeia aberta, a ciclização ocorreu entre os átomos de carbono de números _____________ .
Assinale a alternativa que preenche, correta e respectivamente, as lacunas do texto.
Uma mistura de fenilamina, a anilina, C6 H7N, e fenilmetanol, o álcool benzílico, C7H8O, foi submetida a um procedimento para separação, conforme representado no esquema da figura a seguir.

O álcool benzílico e um sal de amina estão presentes, preponderante e respectivamente, nas fases
Foi adicionada a uma bomba calorimétrica selada, com volume invariável a 25 ºC, uma mistura gasosa de um hidrocarboneto saturado e oxigênio, com pressão total P1, em proporção estequiométrica para reação de combustão completa.
Após acionada a ignição, a mistura gasosa reagiu completamente. Considerando que o volume do líquido formado na reação é desprezível em relação ao volume total do compartimento e que a pressão P2 no interior da bomba calorimétrica após a reação 25 ºC é igual a 0,5 x P1, a fórmula molecular do hidrocarboneto empregado no experimento é:

