Questões de Concurso
Filtrar
502.342 Questões de concurso encontradas
Página 74 de 100.469
Questões por página:
De acordo com a Lei nº 14.133, de 1º de abril de 2021, na execução indireta de obras e serviços de engenharia, são admitidos, entre outros regimes, o regime de contratação de mão de obra para pequenos trabalhos por preço certo, com ou sem fornecimento de materiais, que é denominado
Para o projeto do traçado da rede de abastecimento de água de um novo bairro, desenhada no software AutoCAD, o alinhamento AB possui comprimento de 22 m e coordenadas, em metros, A (13,17) e B (32.05,6).

Empregando o comando LINE para desenhar o alinhamento em coordenadas polares relativas, a partir do ponto A, deve-se digitar, após TO POINT,
Considere a composição de custos de unitários para a execução de um metro de camada de berço com lastro drenante para assentamento das redes coletoras enterradas de esgoto sanitário.

Na elaboração do orçamento para cobrir 500 m com essa camada de berço com lastro drenante, a previsão orçamentária para a realização desse serviço, sem considerar BDI e leis sociais, é de
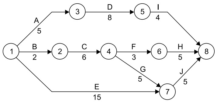
Considere o planejamento de uma reforma parcial na rede de esgoto de um bairro periférico municipal dado pelo cronograma Pert- CPM da figura a seguir:

(Arquivo pessoal; imagem usada com autorização)
Onde:
– As letras representam as atividades; e o tempo, em dias, está indicado abaixo das letras.
A obra tem previsão de início no dia 11 de novembro do presente ano. A data mais tarde que a atividade “A” pode ser iniciada, para que não ocorra nenhum atraso na obra da reforma, é no dia