Questões de Concurso
Filtrar
537.802 Questões de concurso encontradas
Página 9 de 107.561
Questões por página:
Questões por página:
Em um apartamento de Brasília houve um princípio de incêndio que começou na cozinha. Os donos do imóvel relataram a um policial civil que ligaram muitos aparelhos elétricos ao mesmo tempo nas tomadas da cozinha. Os aparelhos eram uma cafeteira elétrica com 1.300 W de potência, um forno micro-ondas com 1.000 W de potência e uma fritadeira elétrica com 5.500 W de potência. O policial civil constatou que a cozinha tinha apenas um circuito elétrico e, portanto, apenas um fusível de 25 A.
Com base nesse caso hipotético, considerando que a tensão elétrica doméstica em Brasília é igual a 220 V e desprezando o fato de a tensão não pertencer a um sistema elétrico de correntes contínuas, assinale a alternativa correta.
Com base nesse caso hipotético, considerando que a tensão elétrica doméstica em Brasília é igual a 220 V e desprezando o fato de a tensão não pertencer a um sistema elétrico de correntes contínuas, assinale a alternativa correta.
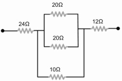
Para mostrar a função e a forma como resistores podem ser arranjados dentro de um circuito elétrico, um instrutor do laboratório de perícia papiloscópica montou o circuito ilustrado abaixo. Após uma análise desse circuito, o instrutor solicitou aos estudantes que determinassem a resistência equivalente da combinação mostrada.

Com base nesse caso hipotético e no circuito ilustrado, assinale a alternativa que apresenta o valor da resistência equivalente.

Com base nesse caso hipotético e no circuito ilustrado, assinale a alternativa que apresenta o valor da resistência equivalente.
Um rapaz fixou uma corda de nylon, estreita e flexível, entre duas árvores. Ao andar sobre a corda esticada, ele se desequilibrou e pulou. Nesse momento, uma onda se propagou nessa corda com a seguinte equação:
y = 0,4sen (π/3 x - 3πt).
Com base nesse caso hipotético e considerando que as constantes numéricas da equação acima estão no Sistema Internacional (SI) de medidas, assinale a alternativa correta.
y = 0,4sen (π/3 x - 3πt).
Com base nesse caso hipotético e considerando que as constantes numéricas da equação acima estão no Sistema Internacional (SI) de medidas, assinale a alternativa correta.

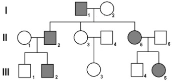
A figura acima ilustra um heredograma de uma família com indivíduos afetados (símbolos escuros) e não afetados (símbolos claros). O padrão de herança mendeliana apresentado nesse heredograma é característico de herança